- SAWデバイス
位置情報の精度向上に貢献、GNSS用SAWフィルタ新製品
近年普及が進んでいる、L5帯、L2帯に対応する製品です。省スペース化と高性能化を両立し、最先端の通信・測位機器の進化を力強くサポートします。
概要
注目のGNSS-L5対応
近年、カーナビ、自動運転、ドローン、精密農業など、より高精度な位置情報が求められる場面が急速に増えています。GNSS-L5帯域は、従来の周波数帯(L1など)に比べ、マルチパスや干渉に強く、都市部や過酷な環境下でも安定した測位が可能です。そのため、次世代の位置情報サービスや社会インフラには、GNSS-L5対応が注目されています。
GNSS-L5対応のSAWフィルタ
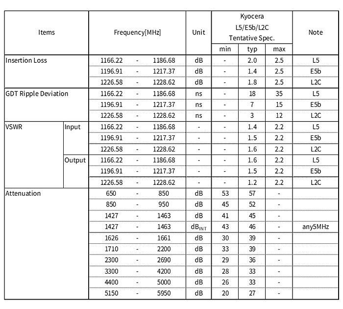
SF11-1192M5UUA1
GNSS-L5帯域をカバーする高性能SAWフィルタです。
- 低挿入損失:微弱なGNSS信号も確実に通し、受信感度を向上。
- 高減衰特性:不要なノイズを強力に抑制し、信号の純度を確保。
- 小型設計(1.1 x 0.9mm):省スペース設計で、幅広い機器への組み込みが可能。
SF11-1197M5UUB1
L5帯とL2帯の両方に対応した多機能タイプです。低挿入損失・高減衰特性・小型設計の特長はそのままに、測量・農業・建設機械など、L5とL2を活用する先進のGNSSアプリケーションに適しています。
GNSS-L1+L5対応のSAWフィルタ
SF11-1197Y6UUA1
GNSS-L1帯とL5帯という2つの重要な周波数に同時対応できる、ダイプレックスタイプの高性能フィルタです。ダイプレックスフィルタは、1つで複数の周波数帯を同時に処理できるため、追加のバンドパスフィルタや切替スイッチが不要です。これにより、回路がシンプルになり、部品点数や実装スペースの削減、小型化に貢献します。
製品仕様
品番 | サイズ (mm) | Band | タイプ | 特長 | インサーションロス | 減衰特性 | 生産ステータス | ||
|---|---|---|---|---|---|---|---|---|---|
X | Y | Z | |||||||
1.1 | 0.9 | 0.60 | GPS L5 | Unbalance | 低ロス | 1.3dB typ. | 54dB typ. | 量産中 | |
1.1 | 0.9 | 0.55 | GPS L5 | Unbalance | 低ロス | 2.0dB typ. | 57dB typ. | 開発中 | |
1.1 | 0.9 | 0.55 | GPS L1 | Unbalance | 低ロス | L1 | L1 | 量産中 | |
GPS L5 | L5/L2 | L5/L2 | |||||||
曲線データ

電気特性

データは全て京セラ調べ
曲線データ

電気特性

データは全て京セラ調べ
1109サイズ GNSS-L1+(L5/L2)対応 1.5/1.1GHz Diplexタイプ SAWフィルタ
特長
- 高性能:低インサーションロス、高減衰特性
- 小型 1.1×0.9 (mm)
- GNSS-L1+(L5/L2)対応 Diplexタイプ
曲線データ
Ant to L1

Ant to L5 / L2

電気特性

データは全て京セラ調べ
京セラでは、用途に応じてお選びいただける高性能GNSSフィルタを取り揃えています。
すべてのモデルで「低損失」「高減衰」「小型設計」の特長を備え、多様なGNSSアプリケーションの高精度化・高信頼化を力強くサポートします。
用途やご要望に合わせて、ぜひ最適なモデルをお選びください。
関連リンク